Water quality

Water quality for irrigation is usually related to the presence of soluble salts such as sodium chloride, magnesium and calcium sulphates, and bicarbonates. The most common criteria for assessing irrigation water quality are: (a) electrical conductivity, and (b) the sodium adsorption ratio (SAR).
Aim of the method/technique The proposed method aims in assessing water suitability for irrigation. Water of high electrical conductivity and SAR values can cause severe soil salinization problems and restriction of the plant growth. 
Scale – spatial and temporal The scale for water quality assessment is the river basin. Local problems of water quality can be also addressed. Water quality usually presents a high spatial variability and temporal change.
Brief description

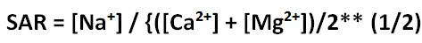
The criteria for irrigation water quality are low salinity or low ratio of Na+ to Ca²+ Mg²+ to prevent the development of salinity or sodicity. The parameters usually used to characterize the quality of irrigation water are electrical conductivity (EC) and the sodium adsorption ratio (SAR) which is defined as follows (Rowell 1995):

This is the ratio of the sodium ion (Na+) concentration to the square root of the average concentration of the divalent calcium (Ca²+) and magnesium (Mg²+) ions. The concentrations are expressed in moles per litter. Electrical conductivity can be measured using an electrical conductivity meter corrected for temperature of 25 °C.  The following classes of electrical conductivity for salinity and sodicity risk are usually proposed  by FAO (Ayers and Westcot, 1985):

(a) Salinity risk

Electrical conductivity  at 25 °C (dS m-¹) <0.7 0-7-3.0
>3.0
Salinity risk
None   
Slight to moderate Severe

(b) Sodicity risk

SAR* Sodicity risk

None Slight to moderate Severe

EC at 25 °C (dS m-¹) EC at 25 °C (dS m-¹) EC at 25 °C (dS m-¹)
0-3 >0.7 0.7-0.2 <0.2
3-6 >1.2 1-2-0.3 <0.3
6-12 >1.9 1.9-0.5 <0.5
12-20
>2.9 2.9-1.3 <1.3
20-40
>5.0
5.0-2.9 <2.0
* Read across each line to have EC values with the corresponding risk for each range of SAR
Data requirements Water quality can be measured by periodically sampling a certain amount of water and measuring in the laboratory the concentration of sodium (Na+), calcium (Ca²+), and magnesium (Mg²+) as well as electrical conductivity.
Main applications in cropland regions Soil salinization is one of the key processes that could lead to land degradation and desertification especially in plain areas with poorly drained soils. The use of poor quality of water (sea water intrusion), the lack of soil drainage systems are in many cases responsible for land degradation and desertification  caused by water logging, salinization, alkalinization, and soil erosion. Areas with adequate amount of good quality of water available for irrigation are subjected to lower land desertification risk. The expansion of irrigated land will probably aggravate the existing problem of brackish water intrusion in aquifers through diminishing groundwater recharge or reduced amount of rainfall.
Strengths and weaknesses The proposed method for assessing water quality can be easily applied in any area in which a common water analysis laboratory exists. Sapling and analysis of irrigation water is required at short time intervals during the irrigation period (at least every 10 days in the dry period).
2014-11-28 10:54:10