Multimedia
Development area
Potential evapotranspiration
Evaporation of water from the soil and plant surfaces and transpiration from the stomata cavities is difficult to measure, since the rate of water vapour movement from several surfaces into a dynamic environment varies with time. Furthermore, the process of taking measurements can alter the local climate around the plant and change the actual rate of evaporation or transpiration. Therefore, evaporation and transpiration fluxes are combined and called evapotranspiration (ETo).Evapotranspiration can be measured or calculated from existing meteorological data. There are several methods for calculating ETo from meteorological data. The simplest method uses the average air temperature. The most complex methods require hourly data, such as solar radiation, air temperature, wind speed, and the vapour pressure. The Penman-Monteith method as modified by Allen (1986) has been proposed for the LEDDRA project.
| Aim of the method/technique | The method aims to calculate the amount of water required from a crop for normal growth. | ||||||||||||||||||||
| Scale – spatial and temporal | Meteorological data are based on point observations (meteorological stations). The link with landscape characteristics requires the assessment of the geographical area covered by each meteorological station. The regionalization of ETo can be made by drawing the Thiessen polygons. A period of at least 30 years is necessary to describe the prevailing evapotranspiration rates in a study area. | ||||||||||||||||||||
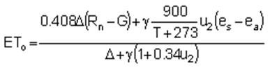
| Brief description | The potential evapotranspiration (ETo) can be estimated by the following equation (http://www.fao.org/docrep/X0490E/x0490e06.htm):![]() Where:
The web page with details for calculating ETo is: http://www.fao.org/nr/water/eto.html. |
||||||||||||||||||||
| Data requirements | The modified Penman-Monteith equation requires the following meteorological data: air temperature (minimum and maximum), relative humidity, wind speed, and solar radiation. The method can also be adjusted to the physical features of the local weather station. | ||||||||||||||||||||
| Main applications in cropland and forests & shrubland regions | Potential evapotranspiration rate is basic characteristics for natural ecosystem performance such as plant growth, soil water balance, soil erosion, land desertification, ecosystem resilience, land vulnerability to degradation, biodiversity, etc. In cropland, irrigation water requirements for a crop can be roughly defined as the difference between ETo and precipitation. The amount of rainfall water runoff from the soil surface is greatly affected by ETo values. | ||||||||||||||||||||
| Strengths and weaknesses | The method for calculating ETo is easily used. However, several climatic parameters are required compared to other methods. The modified Penman method was frequently found to overestimate ETo, even by up to 20% for low evaporative conditions. It may require local calibration of the wind function to achieve satisfactory results. It is a method with strong likelihood of correctly predicting ETo in a wide range of locations and climates. |
